欢迎访问江西成考网! 本网站为民间交流网站,主要为广大考生提供报考指导服务,网站信息仅供学习交流使用,官方信息以江西省教育考试院(http://www.jxeea.cn/)为准。
成考动态
成考政策
网上查询
400-0620-207
咨询时间:08:30--21:30
首页
成考资讯
成考指南
成考试题
考试技巧
网上查询
成考问答
开放教育
职业资格
网上报名
成考动态
成考指南
成考政策
教育新闻
历年真题
模拟试题
辅导讲义
成考心得
考试技巧
成绩查询
录取查询
分数线
证书查询
成考专题
网络教育
高职扩招
成人本科
南昌市
景德镇市
九江市
萍乡市
新余市
上饶市
鹰潭市
吉安市
赣州市
抚州市
宜春市
您现在的位置:
首页
>
专升本复习资料
>
高等数学
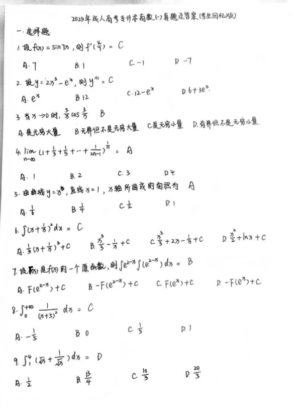
2025年成人高考考试专升本高数一真题试卷答案(考生回忆版,仅供参考)
来源:本站 时间:2025-10-22
2025年成人高考考试专升本高数一真题试卷答案
(考生回忆版,仅供参考)
上一篇:
2023年成人高考专升本高等数学(二)真题考试试卷含答案
下一篇:
2025年成人高考考试专升本高数二真题试卷答案(考生回忆版,仅供参考)
- 在线测评 评估您适合什么学历提升方式 -
1.您目前学历
小学
初中
高中
中专
大专
2.您的年龄段
18-24岁
25-30岁
31-40岁
40岁以上
3.您能接受的拿证时长
一年内
越快越好
一年半
2年
标准学制
4.您为什么提升学历
找工作
考公务员
考证书
评职称
积分入户
其他
点击获取评测结果
江西成考报考指南
报名时间
专业查询
考试科目
主考院校
报名流程
成考免考
成绩查询
学位申请
江西成考成考动态
1
报名>>
2025年江西成人高考招生简章已公布
2
报名>>
2024年江西省成人高考招生简章已公布
3
报名>>
江西省2023年成人高考网上报名流程图解
4
报名>>
2023年江西成人高考报考流程
5
报名>>
江西成人高考报考需要哪些资料
6
报名>>
2023年江西成考报名时间及考试时间
7
报名>>
2022年江西成人高考考试时间:11.5-11.6日
8
报名>>
2022年江西省成人高考线下资料审核地址
9
报名>>
2025年江西成人高考问题解答
10
报名>>
2022年江西成人高考预报名时间(成考预报名通道)
江西成考教育新闻
教育部办公厅关于做好2023年高等学历继续教育专业设置与管理工作的通知
江西省2022年成人高考疫情防控考生须知
2021年江西省高职扩招专项招生各高校报考网址
江西省自学考试毕业审核申报点(初审单位)联络表
江西省自学考试毕业生电子图像采集要求
2025年下半年江西省自学考试毕业申报及审核工作的通知
江西省2025年下半年自考成绩查询时间及成绩复核已公布
江西省2025年上半年自学考试毕业审核工作顺利结束
国家开放大学江西分部江西开放大学2025年秋季学期招生简章
公安部、国家互联网信息办公室等六部门联合公布《国家网络身份认证公共服务管理办法》
江西成考考试政策
1
2023年江西成人高考免试入学条件
2
2023年江西成人高考报名条件及要求
3
江西省2022年成人高考招生简章
4
教育部:学历继续教育不再使用“函授”“业余”的名称
5
江西省开展高等学历继续教育毕业论文查重工作的通知
6
2021年江西省成人高考免考规则
7
成考专升本学历具备什么条件可以满足免试申请
8
国家运动员参加成考可以面试吗?(可以获得额外加分吗)
9
江西成人高考加分投档政策
10
江西成人高考免试入学政策
欢迎教育机构、媒体、高校、出版单位联系合作!(友情链接交换)
友情链接
江西教育考试院
400-0620-207
快捷咨询入口
+
在线咨询
免费来电咨询
我们会立即与您沟通
立即提交
值班老师
免费咨询热线
400-0620-207